로그인하고 혜택 받으세요!
회원가입
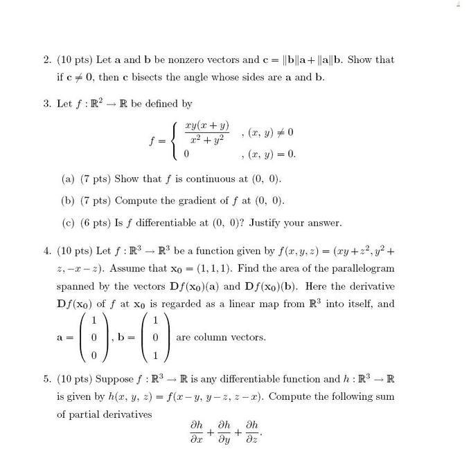
로그인
업소정보
출근부 [핸플/립/페티쉬]
출근부 [키스방]
출근부 [건마-서울]
출근부 [건마-지방]
출근부 [오피-서울]
출근부 [오피-지방]
출근부 [휴게텔]
출근부 [안마/출장]
출근부 [소프트룸]
출근부 [하드코어]
업소후기
후기 [핸플/립/페티시]
후기 [키스방]
후기 [건마-서울]
후기 [건마-지방]
후기 [건마-스파]
후기 [오피-서울,지방]
후기 [휴게텔]
후기 [안마/출장]
후기 [소프트룸]
후기 [하드코어]
커뮤니티
질문게시판
자유게시판
언니게시판
유머게시판
해외탐방
야설게시판
섹밤 교정본부
사진관
섹밤센터
건의/버그신고
구인구직
장터란
제휴문의
제휴문의
업소정보
업소후기
커뮤니티
사진관
섹밤센터
제휴문의
prev
prev
출근부 [핸플/립/페티쉬]
출근부 [키스방]
출근부 [건마-서울]
출근부 [건마-지방]
출근부 [오피-서울]
출근부 [오피-지방]
출근부 [휴게텔]
출근부 [안마/출장]
출근부 [소프트룸]
출근부 [하드코어]
후기 [핸플/립/페티시]
후기 [키스방]
후기 [건마-서울]
후기 [건마-지방]
후기 [건마-스파]
후기 [오피-서울,지방]
후기 [휴게텔]
후기 [안마/출장]
후기 [소프트룸]
후기 [하드코어]
질문게시판
자유게시판
언니게시판
유머게시판
해외탐방
야설게시판
섹밤 교정본부
건의/버그신고
구인구직
장터란
제휴문의
서울대 vs 지방대 시험
개드리퍼
조회
778
추천
0
댓글
0
작성
24.09.12
본문 건너뛰기
이건 둘다 미분적분학 시험 위가 서울대, 아래가 지방대
서울대는 경제수학, 지방대는 공학수학
이전글
기후변화로 사라질 음식
기후변화로 사라질 음식
2024.09.12
by
개드리퍼
다음글
세금 살살 녹는다.
세금 살살 녹는다.
2024.09.12
by
개드리퍼
베스트
점프
목록
0
0
스크랩
✔
댓글 쓰기
?
댓글 쓰기 권한이 없습니다. 로그인 하시겠습니까?
검색
쓰기
제목+내용
제목
내용
댓글
닉네임
태그
회원 번호
List of Articles
마음에 들라곤 안 했네
개드리퍼
2024.09.13
조회 629
추천 0
Re: 스피노사우르스에게 산채로 먹히는 체험 어트랙션
개드리퍼
2024.09.13
조회 615
추천 0
피부과 시술 아픈 순위
개드리퍼
2024.09.13
조회 770
추천 0
기적의 논리
개드리퍼
2024.09.13
조회 645
추천 0
게임에 바이크를 너무 넣고싶었던 사람
개드리퍼
2024.09.13
조회 689
추천 0
트위터 정지당하는법
개드리퍼
2024.09.13
조회 764
추천 0
나히아 진엔딩
개드리퍼
2024.09.13
조회 704
추천 0
극혐 - 불곰한테 얼굴을 잃은 남자
개드리퍼
2024.09.13
조회 844
추천 0
고스트 버스터즈 - 먹깨비 탄생비화
개드리퍼
2024.09.12
조회 755
추천 0
동물들이 말하는 촌..manwha
개드리퍼
2024.09.12
조회 603
추천 0
친형을 판 쓰레기 동생
개드리퍼
2024.09.12
조회 884
추천 0
캣맘의 적반하장에 빡친 아파트 주민
개드리퍼
2024.09.12
조회 924
추천 0
기후변화로 사라질 음식
개드리퍼
2024.09.12
조회 903
추천 0
서울대 vs 지방대 시험
개드리퍼
2024.09.12
조회 778
추천 0
세금 살살 녹는다.
개드리퍼
2024.09.12
조회 787
추천 0
수상할 정도로 몸매가 좋은 야쿠르트 아줌마
1
개드리퍼
2024.09.12
조회 1097
추천 0
안선생님을 놀리는 강백호
개드리퍼
2024.09.12
조회 743
추천 0
re: 기러기아빠 방시혁
개드리퍼
2024.09.12
조회 750
추천 0
서민 남친과 갑부 여친
개드리퍼
2024.09.12
조회 907
추천 0
re: 뉴진스 의견 표명
개드리퍼
2024.09.12
조회 870
추천 0
Board Pagination
Prev
1
...
605
...
2023
Next
/ 2023
GO
검색
쓰기
제목+내용
제목
내용
댓글
닉네임
태그
회원 번호
전화 걸기
문자 보내기
취소